步進電機的轉速取決于(步進電機暫態阻尼特性的測量)
- 發布時間:??2021-03-11
- 分類:行業資訊
- 作者:
- 來源:網絡
- 訪問量:4562
當步進電機的轉子以一個步進角步進時,轉子將振動,然后緩慢停止并停止。垂直軸代表角度,水平軸代表時間。轉子緩慢停止并停止。稱為臨時狀態(衰減)特性。
此測量方法使用下圖所示的測試結構。
驅動電路確定勵磁模式,步進電動機1逐步驅動。此時,步進電動機配備有電位計,并且使用存儲示波器繪制輸出波形,并且可以通過這種方式測量瞬態特性。該方法可用于測量勵磁相的通電狀態,角振動的變化,轉子位置的過沖,轉子位置和位置的穩定時間,并且由于其結構簡單而被廣泛使用。該方法用于測量2相HB 1.8°步進電機的2相勵磁和1-2相勵磁的瞬態特性。如下圖所示。與1-2相勵磁相比,2相勵磁具有良好的穩定性,1相勵磁的過沖大,阻尼與2相勵磁有很大不同。
為了在1?2相驅動狀態下在穩定的位置獲得狀態,該方法優選為2相。
為了測量瞬態特性,必須更準確地獲得垂直軸的角度精度,并且可以用編碼器代替電位計,并且可以通過打印機輸出穩定的波形。下圖顯示了測量方法的穩定波形。有兩個阻尼振動達到停止角的±5%以內,即大1.8°±5%以讀取設置時間(設置時間)。
與電位器方法相比,編碼器方法的編碼器慣性大,因此應注意穩定時間絕對值的差異。
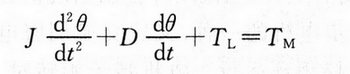
典型的衰減特性由上面的《步進電機的加速、減速控制》中的以下公式表示。當J,D和電動機產生轉矩Kθ時,(D /√JK)(JK包括在根符號中)得到改善,并且振動得到了抑制。角速度約為(√K/√J)。
熱門資訊:
請關注我們
江西電機
地址:上海市松江區莘磚公路399弄
座機: +86-021-6992-5088
傳真: +86-021-6992-5099
郵箱: 18717976220@163.com
Copyright ? 2020 江西電機?版權所有 網站圖片內容來源于網絡,如有侵權請聯系刪除。
滬ICP備16040912號-18
